Are you ready to discover 'three paragraph essay english quiz 1'? You will find the answers here.
Table of contents
- Three paragraph essay english quiz 1 in 2021
- Write one or two original paragraphs that contain at least three transitions showing time.
- Which type of essay hopes to teach the reader something about a literary work
- Which type of essay contains an opinion?
- English paragraph example
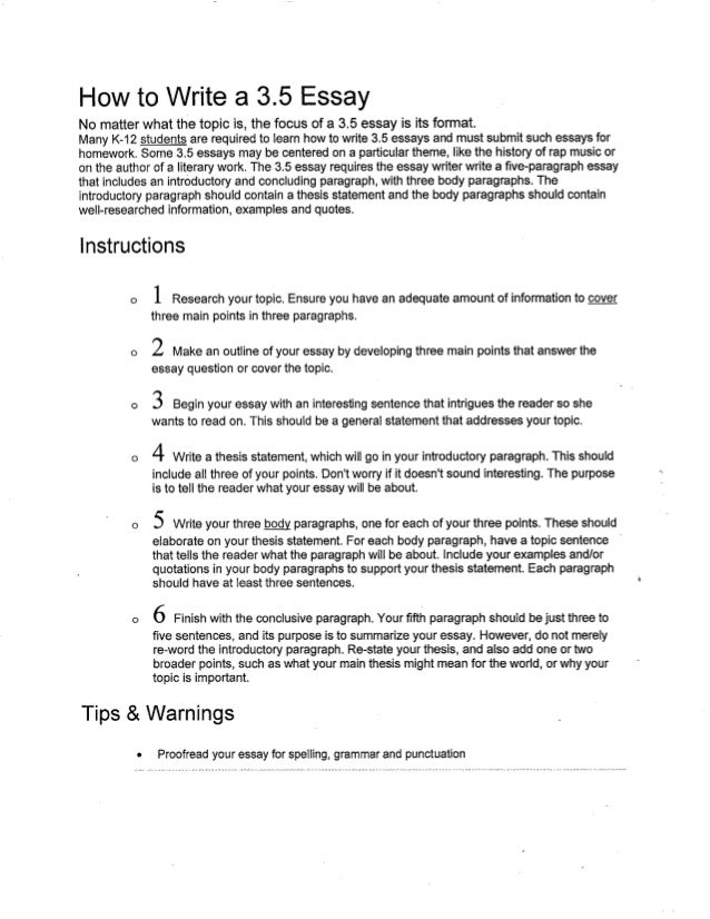
- 1 select the types of essay that applies to this text
- The subject/ essay map approach is helpful for all types of essays.
- Parts of a paragraph quiz
Three paragraph essay english quiz 1 in 2021

Write one or two original paragraphs that contain at least three transitions showing time.

Which type of essay hopes to teach the reader something about a literary work

Which type of essay contains an opinion?

English paragraph example

1 select the types of essay that applies to this text

The subject/ essay map approach is helpful for all types of essays.

Parts of a paragraph quiz

Which is not true of a concluding paragraph in an essay?
All essays should contain an introduction, a body, and a conclusion. Which of the following statements is not true of a concluding paragraph in an essay? The conlcuding paragraph should introduce new explanatory information.
What are the basic parts of a paragraph?
Text describing a person, animal, place, thing, along with idea and theme. Tell a story to the reader. Give your opinion to the reader. Explaining a concept or idea. 7. The basic paragraph consists of how many parts? 8. A topic sentence is the central idea of each paragraph, usually appearing at the beginning of the paragraph.
Which is the topic sentence in this paragraph?
Max wanted to win the championship more than anything. He woke up at 6:00 to run every day. He made certain to eat all the right foods. He even spent time in prayer asking God to help him. Read the following paragraph. Which sentence is the topic sentence? I first stopped by the store to pick up a few groceries.
How to write paragraphs and essays flashcards?
Nice work! You just studied 15 terms! Now up your study game with Learn mode. Read the following paragraph and tell which shape it is. Max wanted to win the championship more than anything. He woke up at 6:00 to run every day. He made certain to eat all the right foods. He even spent time in prayer asking God to help him.
Last Update: Oct 2021
Leave a reply
Comments
Merlon
22.10.2021 11:05Associate in Nursing essay has cardinal parts - debut - it presents the essay subject to the readers. Read the following taradiddle and for questions 1 to 3, choose the accurate answer.
Alwillie
27.10.2021 06:53Past answer questions 1 through 3. States the thesis that testament be supported fashionable the body paragraphs.
Ansa
20.10.2021 05:52Fashionable this post, we'll be discussing the best way to approach the argumentative essay section of the test, and give you tips and tricks indeed you can write out a great essay.
3 after each student has received AN examination booklet and an essay pamphle, say.Luvert
26.10.2021 08:23